ГДЗ (відповіді та розв'язання) до вправи №254 - 6. Властивості степеня з натуральним показником - § 1. Алгебраїчні вирази. Рівняння з однією змінною |
← Повернутися до розділів |
| ← №253 | №254 | №255 → |
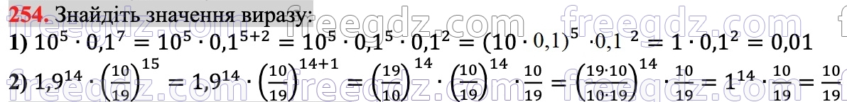
Розв'язок:
Розв'язок можна рухати пальцем вліво/вправо
